حل تقييم الاسبوع السادس الرياضيات عامة ثانية ثانوي ترم ثاني
حلول نموذجية أسئلة تقييم الأسبوع السادس الرياضيات العامة الصف الثاني الثانوي
حلول نموذجية أسئلة تقييم الأسبوع السادس الرياضيات العامة.. تصدر البحث عن حلول تقييم الأسبوع السادس في مادة الرياضيات العامة للصف الثاني الثانوي محركات البحث، بالتزامن مع حرص الطلاب على مراجعة الدروس وفهم نمط الأسئلة المقرر ضمن خطة وزارة التربية والتعليم للفصل الدراسي الثاني للعام الدراسي 2025/2026.

حلول نموذجية أسئلة تقييم الأسبوع السادس الرياضيات العامة.. وتُعد التقييمات الأسبوعية أداة تعليمية فعالة لقياس مستوى الطلاب بشكل دوري، حيث تعتمد على الفهم والتطبيق العملي للقوانين الرياضية، ما يساعد الطلاب على الاستعداد الجيد للامتحانات النهائية.
ملامح أسئلة تقييم الأسبوع السادس رياضيات عامة
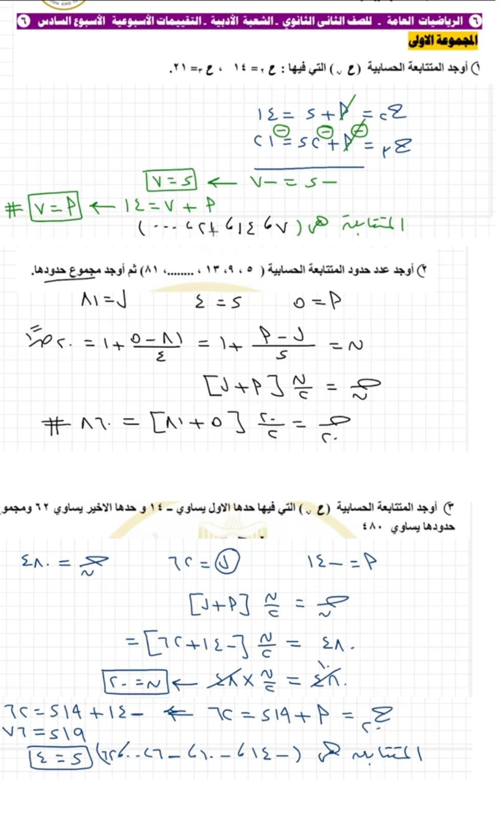
حلول نموذجية أسئلة تقييم الأسبوع السادس الرياضيات العامة.. جاءت أسئلة التقييم شاملة ومتنوعة لتغطي أبرز أجزاء المنهج، حيث تضمنت: مسائل على الجبر والتعبيرات الرياضية، وتطبيقات على الإحصاء والاحتمالات، وأسئلة تعتمد على التحليل والتفكير المنطقي، وتدريبات على تفسير النتائج والبيانات، وكما راعت الأسئلة التدرج في مستوى الصعوبة لتناسب جميع مستويات الطلاب.

الحلول النموذجية لأسئلة التقييم
حلول نموذجية أسئلة تقييم الأسبوع السادس الرياضيات العامة.. قدّم معلمو المادة الحلول النموذجية التي تساعد الطلاب على فهم طريقة الحل الصحيحة، وجاءت أبرز ملامحها: كتابة القوانين المستخدمة بشكل واضح، وتنظيم خطوات الحل للوصول إلى النتيجة بدقة، والاعتماد على الفهم وليس الحفظ، والتأكد من صحة العمليات الحسابية، وتؤكد هذه الحلول على أهمية اتباع خطوات منهجية عند التعامل مع المسائل الرياضية، بما يضمن الوصول إلى الإجابة الصحيحة.

أهمية تقييمات الرياضيات العامة
حلول نموذجية أسئلة تقييم الأسبوع السادس الرياضيات العامة.. تمثل هذه التقييمات أهمية كبيرة لطلاب الصف الثاني الثانوي، حيث: تساعد في تثبيت المفاهيم والقوانين، وتكشف نقاط الضعف لدى الطالب، وتُعد تدريبًا عمليًا على أسئلة الامتحانات، وتنمي مهارات التفكير والتحليل، ونصائح لتحقيق التفوق، وينصح الخبراء الطلاب باتباع عدد من الإرشادات المهمة، أبرزها: حل التقييمات بأنفسهم أولًا قبل الاطلاع على الحل، ومراجعة الأخطاء والتركيز على أسبابها
التدريب المستمر على نمط الأسئلة.

الاستعانة بالشرح المبسط عند الحاجة
حلول نموذجية أسئلة تقييم الأسبوع السادس الرياضيات العامة.. وفي سياق متصل، أكد عدد من المتخصصين أن الالتزام بحل التقييمات الأسبوعية بشكل منتظم، مثل تقييم الأسبوع السادس، يُعد من أهم عوامل النجاح والتفوق في مادة الرياضيات العامة.

دليل الطالب الشامل لحل تقييم الأسبوع السادس الرياضيات البحتة الصف الثاني الثانوي
أسئلة مهمة وإجابات نموذجية في تقييم الأسبوع السادس لـ الصف الثاني الثانوي ترم ثاني 2026
بالحل النموذجي.. تقييم الأسبوع السادس تاريخ تانية ثانوي ترم ثاني 2026
لطلاب ثانية ثانوي.. حل أسئلة تقييم الأسبوع السادس علم النفس والاجتماع ترم ثاني
حلول جميع أسئلة تقييم الأسبوع السادس في التربية الإسلامية ترم ثاني ثانية ثانوي
تقييم أسئلة الأسبوع السادس انجليزي بالاجابات لـ الصف الثاني الثانوي مع الشرح والتفصيل
لضمان التفوق في امتحان مارس.. إجابات أسئلة الأسبوع السادس لغة عربية ثانية ثانوي 2026
- حلول نموذجية أسئلة تقييم الأسبوع السادس الرياضيات العامة
- تقييم الأسبوع السادس رياضيات عامة تانية ثانوي 2026
- حلول تقييم الرياضيات الصف الثاني الثانوي
- أسئلة الرياضيات العامة الأسبوع السادس
- حل تقييمات الوزارة رياضيات
- مراجعة رياضيات ثانية ثانوي ترم ثاني
- تقييمات وزارة التربية والتعليم 2026
- التقيم الأسبوع ثانية ثانوي
- التقييمات الأسبوعية ثانية ثانوي
- التقييم الأسبوع الرياضيات العامة ثانية ثانوي
- التقييم الاسبوعي
- المراجعات النهائية
- المراجعة النهائية
- أخبار المراجعات النهائية
- أخبار المراجعات النهائية اليوم
- المراجعة النهائية اليوم
- أخبار المراجعة النهائية
- أخبار المراجعة النهائية اليوم
- مراجعة نهائية اليوم
- أخبار مراجعة نهائية
- أخبار مراجعة نهائية اليوم
- مراجعات نهائية الرياضيات العامة
- الرياضيات العامة مراجعات نهائية الصف الثاني الثانوي
- مراجعات نهائية الصف الثاني الثانوي الرياضيات العامة
- مراجعات نهائيه امتحان الرياضيات العامة ثانية ثانوي
- الصف الثاني الثانوي الرياضيات العامة
- تحميل مذكرة الرياضيات العامة ثانية ثانوي
- تحميل مذكرات ثانية ثانوي الرياضيات العامة
- تحميل مذكرات الرياضيات العامة ثانية ثانوي
- درس خصوصى
- أخبار درس خصوصي
- أخبار درس خصوصي اليوم
- التقييم الاسبوعي للصف الثاني الثانوي الرياضيات العامة
- حل التقييم الاسبوعي للصف الثاني الثانوي الرياضيات العامة
- التقييم الاسبوعي للصف الثاني الثانوي رياضيات عامة
- حل التقييم الاسبوعي للصف الثاني الثانوي رياضيات عامة
- الصف الثانى الثانوى
- ثانية ثانوى
- الصف الثاني الثانوي اليوم
- أخبار الصف الثاني الثانوي
- أخبار الصف الثاني الثانوي اليوم
- ثانية ثانوي اليوم
- أخبار ثانية ثانوي
- أخبار ثانية ثانوي اليوم





