مراجعات نهائية في مقرر الفصل الدراسي الثاني في الرياضيات أولى ثانوي
راجع قبل الامتحان.. حل تقييم الأسبوع الرابع رياضيات أولى ثانوي الترم الثاني
حل تقييم الأسبوع الرابع رياضيات أولى ثانوي.. تزايد البحث من قبل طلاب وطالبات الصف الأول الثانوي عن اجابات أسئلة تقييم الأسبوع الرابع في مادة الرياضيات الصف الأول الثانوي ترم ثاني، للعام الدراسي الجاري 2025-2026.




تحميل أسئلة تقييم الأسبوع الرابع الرياضيات الصف الأول الثانوي
حل تقييم الأسبوع الرابع رياضيات أولى ثانوي.. وتحميل أسئلة تقييم الأسبوع الرابع الرياضيات الصف الأول الثانوي، حيث يواصل موقع السبورة نشر مراجعة ليلة الامتحان من خلال تحميل أقوى أسئلة تقييم الأسبوع الرابع الرياضيات، من خلال مراجعات نهائيه، واستعراض جميع نظام أسئلة امتحانات الرياضيات، وشرح مبسط، واستعراض لجميع أسئلة مادة الرياضيات، عن طريق نشر العديد من الامتحانات، لطلاب وطالبات الصف الأول الثانوي، في مراجعات نهائية، لن يخرج عنها امتحان آخر العام، ومن خلال متابعة مراجعات نهائية أعدها خبراء المادة في وزارة التربية والتعليم.




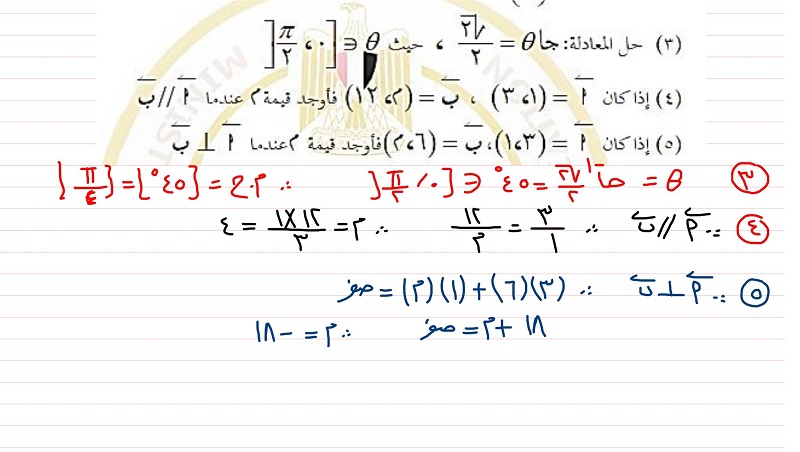
أسئلة تقييم الأسبوع الرابع الرياضيات فرع الهندسة أولى ثانوي
حل تقييم الأسبوع الرابع رياضيات أولى ثانوي.. ويستعرض موقع السبورة من خلال مراجعات نهائية، نشر أسئلة تقييم الأسبوع الثالث الرياضيات فرع الهندسة الصف الأول الثانوي، مش هتقدر تفوتها من خلال مراجعات نهائية، في موقع السبورة، وقسم درس خصوصي، الذي يضمن لك التفوق والتميز، بعد نشر مراجعات نهائية، وتحميل مذكرة ليلة الامتحان في مادة الرياضيات لطلاب وطالبات الصف الأول الثانوي.
مراجعات نهائية في مقرر الفصل الدراسي الثاني في الرياضيات أولى ثانوي
حل تقييم الأسبوع الرابع رياضيات أولى ثانوي.. وتحميل أقوى أسئلة تقييم الأسبوع الرابع الرياضيات الصف الأول الثانوي، تضمن لك دخول الامتحان وهو في جيبك، من خلال امتحانات مادة الرياضيات، تضمن لك مراجعات نهائية في منهج الفصل الدراسي الثاني، والتى تعد مرجعا أساسيا في مراجعات نهائية، لمقرر المنهج الدراسي للعام الدراسي الجاري 2025-2026، أعدها خبراء المادة في وزارة التربية والتعليم، من أجل مراجعات نهائيه لطلاب الصف الأول الثانوي، وللدخول على رابط التقييم الأسبوع الرابع الرياضيات فرع الهندسة.
نموذج تقييم الأسبوع الرابع فرنساوي بالاجابات أولى ثانوي ترم ثاني
لطلاب أولى ثانوي.. بالاجابات تقييم الأسبوع الرابع الفلسفة والمنطق
بالاجابات تقييم الاسبوع الرابع تاريخ ترم ثاني أولى ثانوي
بالاجابات أسئلة تقييمات الأسبوع الرابع في التربية الاسلامية ترم ثاني أولى ثانوي
اجابات التقييم الاسبوعي الرابع علوم متكاملة أولي ثانوي وبكالوريا ترم ثاني أولى ثانوي
حل أسئلة تقييم الأسبوع الرابع العلوم المتكاملة لغات الصف الأول الثانوي
أسئلة تقييمات الأسبوع الرابع إنجليزي بالاجابات أولى ثانوي ترم ثاني
بالاجابات أسئلة تقييم الأسبوع الرابع لغة عربية ترم ثاني الصف الأول الثانوي
أبرز 100 سؤال بالاجابات على أول 5 دروس برمجة وذكاء اصطناعي أولى ثانوي
امتحان اللغة العربية عن مقرر شهر فبراير بالاجابات لـ الصف الأول الثانوي
لطلاب أولى ثانوي.. بالاجابات أسئلة تقييم الأسبوع الثالث الرياضيات فرع الهندسة ترم ثاني
- حل تقييم الأسبوع الرابع رياضيات أولى ثانوي
- حل أسئلة تقييم الأسبوع الرابع الرياضيات فرع الهندسة
- مراجعات نهائية
- مراجعة نهائية
- التقييمات الأسبوعية
- الصف الاول الثانوى
- اولى ثانوى
- تقييمات الأسبوع الرابع الصف الأول الثانوي
- تقييمات الأسبوع الرابع أولى ثانوي
- الأسبوع الرابع تقييم أولى ثانوي
- الأسبوع الرابع تقييم أولى ثانوي الرياضيات
- تقييم الأسبوع الرابع الرياضيات أولى ثانوي
- الرياضيات تقييم الأسبوع الرابع
- أولى ثانوي الرياضيات تقييم الأسبوع الرابع
- تقييم الأسبوع أولى ثانوي
- التقييمات الأسبوعية أولى ثانوي
- التقييم الأسبوعي الرياضيات أولى ثانوي
- التقييم الاسبوعي
- المراجعات النهائية
- المراجعة النهائية
- أخبار المراجعات النهائية
- أخبار المراجعات النهائية اليوم
- المراجعة النهائية اليوم
- أخبار المراجعة النهائية
- أخبار المراجعة النهائية اليوم
- مراجعة نهائية اليوم
- أخبار مراجعة نهائية
- أخبار مراجعة نهائية اليوم
- مراجعات نهائيه الرياضيات
- الرياضيات مراجعات نهائية الصف الأولى الثانوي
- مراجعات نهائية الصف الأولى الثانوي الرياضيات
- مراجعات نهائيه امتحان الرياضيات أولى ثانوي
- الصف الأولى الثانوي الرياضيات
- تحميل مذكرة الرياضيات اولى ثانوي
- تحميل مذكرات أولى ثانوي رياضيات
- تحميل مذكرات الرياضيات أولى ثانوي
- درس خصوصى
- أخبار درس خصوصي
- أخبار درس خصوصي اليوم
- التقييم الاسبوعي للصف الأول الثانوي رياضيات
- حل التقييم الاسبوعي للصف الأول الثانوي رياضيات
- التقييم الاسبوعي للصف الأول الثانوي الرياضيات
- حل التقييم الاسبوعي للصف الأول الثانوي الرياضيات
- التقييم الاسبوعي للصف الأول الثانوي pdf
- التقييم الاسبوعي للصف الأول الثانوي إنجليزي
- التقييم الاسبوعي للصف الأول الثانوي فيزياء
- حل التقييم الاسبوعي للصف الأول الثانوي عربي pdf
- حل التقييم الاسبوعي للصف الأول الثانوي عربي الاسبوع الثالث
- موقع وزارة التربية والتعليم التقييم الاسبوعي
- حل التقييم الاسبوعي للصف الأول الثانوي احياء
- حل التقييم الاسبوعي للصف الأول الثانوي انجليزي
- حل التقييم الاسبوعي للصف الأول الثانوي علوم متكاملة
- حل التقييم الاسبوعي للصف الأول الثانوي التاريخ
- حل التقييم الاسبوعي للصف الأول الثانوي الفلسفة والمنطق
- حل التقييم الاسبوعي للصف الأول الثانوي الجغرافيا






